Iris PEG 相關產品
IRIS生物科技為一家專門從事多肽合成,聚乙二醇,生命科學研究和生物催化試劑,其中以聚乙二醇試劑為我們主要代理商品。
★ 聚乙二醇試劑:
單分散性和多分散性的親水性交聯劑,用於改善肽,蛋白質,生物製藥和有機藥物分子的溶解度和藥代動力學性質。
商品介紹
聚乙二醇試劑 (PEGylation)
|
|
||
|
Formula |
C81H159N7O36 |
|
|
M.W. |
1807,15 g/mole |
|
|
ART-NO |
PEG0216.0000 |
|
|
QTY |
0 |
|
|
|
||
|
Formula |
C53H103N7O22 |
|
|
M.W. |
1190,42 g/mole |
|
|
ART-NO |
PEG0173.0100 PEG0173.0500 |
|
|
QTY |
100 mg 500 mg |
|
|
|
||
|
Formula |
C62H112N8O27 |
|
|
M.W. |
1401,59 g/mole |
|
|
ART-NO |
PEG0183.0000 |
|
|
QTY |
0 |
|
|
|
||
|
CAS-No |
1334178-02-7 |
|
|
Formula |
C99H197N5O47 |
|
|
M.W. |
2209,63 g/mole |
|
|
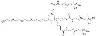
ART-NO |
PEG1325.0100 PEG1325.0001 |
|
|
QTY |
100 mg 1 g |
|
|
|
||
|
CAS-No |
1334178-02-7 |
|
|
Formula |
C171H341N5O83 |
|
|
M.W. |
3795,52 g/mole |
|
|
ART-NO |
PEG3350.0100 PEG3350.1000 |
|
|
QTY |
100 mg 1 g |
|
|
|
||
|
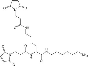
CAS-No |
1301738-40-8 |
|
|
Formula |
C26H38N6O7*CF3CO2H |
|
|
M.W. |
546,62*114,02 g/mole |
|
|
ART-NO |
PEG1480.0100 PEG1480.0001 |
|
|
QTY |
100 mg 1 g |
|
|
|
||
|
Formula |
C65H105F4N9O21S2 |
|
|
M.W. |
1488,7 g/mole |
|
|
ART-NO |
PEG2166.0100 PEG2166.0001 |
|
|
QTY |
100 mg 1 g |
|
|
|
||
|
M.W. |
3000 Da |
|
|
ART-NO |
PEG0306.0005 |
|
|
QTY |
5 mg 25 mg 100 mg |
|
|
|
||
|
M.W. |
5000 Da |
|
|
ART-NO |
PEG0506.0005 |
|
|
QTY |
5 mg 25 mg 100 mg |
|
|
|
||
|
CAS-No |
560088-74-6 |
|
|
Formula |
C10H17NO6*C12H23N |
|
|
M.W. |
247,11*181,32 g/mole |
|
|
ART-NO |
AAA1905.0001 AAA1905.0005 AAA1905.0025 |
|
|
QTY |
1 g 5 g 25 g |
|
|
|
||
|
CAS-No |
142929-49-5 net |
|
|
Formula |
C9H17NO5*C12H23N |
|
|
M.W. |
219,24*181,32 g/mole |
|
|
ART-NO |
BAA5240.0005 BAA5240.0025 |
|
|
QTY |
5 g 25 g |
|
|
|
||
|
CAS-No |
1263049-05-3 |
|
|
Formula |
C23H35N3O8S |
|
|
M.W. |
513,61 g/mole |
|
|
ART-NO |
BAA6070.0001 BAA6070.0005 BAA6070.0025 |
|
|
QTY |
1 g 5 g 25 g |
|
|
|
||
|
CAS-No |
560088-79-1 |
|
|
Formula |
C11H21NO6*C12H23N |
|
|
M.W. |
63,29*181,32 g/mole |
|
|
ART-NO |
BAA1466.0005 BAA1466.0025 |
|
|
QTY |
5 g 25 g |
|
|
|
||
|
CAS-No |
1263049-06-4 |
|
|
Formula |
C25H39N3O9S |
|
|
M.W. |
557,66 g/mole |
|
|
ART-NO |
BAA6080.0001 BAA6080.0005 BAA6080.0025 |
|
|
QTY |
1 g 5 g 25 g |
|
|
|
||
|
CAS-No |
1069067-08-8 |
|
|
Formula |
C17H32N2O9 |
|
|
M.W. |
408,45 g/mole |
|
|
ART-NO |
BAA1485.0001 BAA1485.0005 BAA1485.0025 |
|
|
QTY |
1 g 5 g 25 g |
|
|
|
||
|
Formula |
C14H27NO7 |
|
|
M.W. |
321,37 g/mole |
|
|
ART-NO |
PEG4930.0001 PEG4930.0005 PEG4930.0025 |
|
|
QTY |
1 g 5 g 25 g |
|
|
|
||
|
CAS-No |
756525-91-4 |
|
|
Formula |
C16H31NO8 |
|
|
M.W. |
365,42 g/mole |
|
|
ART-NO |
PEG1920.0001 PEG1920.0005 |
|
|
QTY |
1 g 5 g |
|



![H2N-dPEG™(4)-[dPEG™(12)-OMe]3](/proimage/images/peg1325%20%281%29.jpg)










